Il procedimento è l’insieme delle operazioni logiche da eseguire per giungere alla formulazione del giudizio di stima. Il metodo di stima, come già detto, è concettualmente unico e si basa sulla comparazione (accertare quali sono i valori attribuiti a beni simili e con essi costruire una scala di valori; stabilire quale tra i possibili valori deve essere attribuito al bene da stimare, ossia scegliere il gradino della scala in cui collocare il bene).
Il valore ottenuto applicando il metodo di stima è un valore normale. Con riferimento alla statistica, si ricorda che il concetto di normale è riferibile a quel carattere che manifesta la massima frequenza. Tale carattere è anche definito il più diffuso, il più frequente, il più probabile. Il concetto statistico di “normale” trova corrispondenza, in estimo, con il concetto di ordinario e con il principio di ordinarietà. Si può quindi affermare che il valore di stima, che scaturisce dall’applicazione del metodo, è un valore ordinario.
Il perito non deve effettuare la stima sulla base di particolarismi o singolarità, ma deve sempre fare riferimento a condizioni medie, normali e cioè, appunto, ordinarie, che rendono la stima oggettiva e generalmente valida.
Distinguiamo due diverse tipologie di procedimenti di stima:
I procedimenti sintetici si distinguono in: stima a vista, stima storica, stime per parametri, stime per valori tipici.
Procedimenti sintetici
Stima a vista o a impressione: il perito esprime il proprio giudizio basandosi sulla semplice osservazione del bene, e non ricorre a calcoli, elaborazioni, indagini minuziose. E’ molto diffusa nelle valutazioni di beni semplici (come materie prime o semilavorati) e in quelle immobiliari. La stima a vista può dare risultati anche molto attendibili, soprattutto laddove esiste una grande omogeneità di caratteristiche immobiliari e dove sono frequenti gli atti di compravendita, perché il perito ha così la possibilità di avere a propria disposizione i dati statistici occorrenti alla stima.
Stima storica: consiste nel dedurre il probabile valore di mercato attuale di un immobile sulla base dei prezzi di compravendita scaturiti in precedenti contrattazioni per lo stesso bene. Questa stima è poco praticata per la scarsa vivacità del mercato immobiliare (specie dei fondi rustici) e per le fluttuazioni dei valori immobiliari.
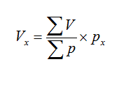
Stime per parametri: tali procedimenti utilizzano, per la comparazione, un parametro di natura fisica o economica, ritenuto proporzionale al valore di mercato del bene oggetto di stima. La formula risolutiva è la seguente:

dove:
∑ V = sommatoria dei prezzi di mercato relativi a beni simili oggetto di recente compravendita
∑ p = sommatoria dei parametri relativi ai beni simili
Vx = valore ordinario del bene oggetto di stima
Px = parametro relativo al bene oggetto di stima
I parametri tecnici più utilizzati sono la superficie (unità di misura: metro quadrato o ettaro), il volume, il vano utile.
Tra i parametri economici ricordiamo il canone di affitto, il reddito imponibile (Reddito Dominicale o Rendita Imponibile), la produzione lorda vendibile.
Stima per valori tipici: trova applicazione nella ricerca del valore di mercato di beni immobili complessi per i quali sia possibile una valutazione separata dei vari elementi che li compongono. Il procedimento, pertanto, comporta la scomposizione del bene nei suoi elementi costitutivi e la successiva stima di ciascun componente singolarmente considerato.
Stima analitica del probabile valore di mercato
La stima analitica consiste nella determinazione del probabile valore di mercato di un bene immobile attraverso la capitalizzazione del reddito di cui l’immobile è capace. Anche tale procedimento analitico appartiene al metodo di stima unico e comparativo (la comparazione viene fatta nell’individuazione del saggio medio di capitalizzazione).
Affinchè la capitalizzazione assuma il significato di procedimento per la stima del probabile valore di mercato di un bene immobile, è necessario:
La stima analitica si svolge in quattro fasi:
Stima analitica di un fondo rustico >>>
Il valore di costo si applica in genere per valutare beni riproducibili come, tipicamente, i fabbricati, ma è usato anche per la stima degli arboreti o di altre opere di miglioramento fondiario.
La stima sintetica del valore di costo si identifica in una stima per parametri tecnici. Un parametro tecnico di riferimento, molto diffuso nella pratica professionale, è il metro cubo vuoto per pieno. Altri parametri sono la superficie coperta totale, il vano commerciale, ecc. Il compito del perito è quello di reperire tra gli imprenditori del settore i costi effettivamente sostenuti per produrre beni simili a quello da stimare.
Il procedimento analitico per la stima del probabile costo di produzione o di costruzione viene condotto attraverso l’analisi e la quantificazione di tutti i fattori produttivi necessari per attuare la produzione o la costruzione stessa. La stima analitica del costo di costruzione viene, di solito, compiuta mediante il computo metrico estimativo, ovvero attraverso l’analisi dettagliata delle qualità e quantità di tutte le categorie dei lavori occorrenti a dare l’opera compiuta.
